电磁流量计 杭州美控自动化技术有限公司
咨询热线: 15064847631
   
作者: 2021-02-24
  
  在很多工业场合中,由于储罐的高度以及工厂作业的速度是固定的,一旦超过固定的量程就会造成原材料的浪费甚至出现很大的麻烦,因此控制原材料的液位就尤其重要。
  市
作者: 2021-02-24
  
  无论是什么工业,都有可能会产生废水,那么流量计这种仪器仪表就被应用的很多,但很多工况用一般的流量计是没办法测量的,比如一些卫生环境要求比较严格如牛奶行业,或者是
作者: 2021-02-24
  
  随着时代的发展,中国已经摆脱以前单单靠农业发展的这一现象,逐渐走向工业化,那么,再工业的发展中自然离不开仪器仪表的使用,特别是LDG电磁流量计。
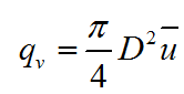
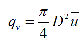
  LDG电磁流量计由
作者: 2021-02-24
  
  目前我国环保治理这方面抓的比较紧,自然污水排放问题就受到重视,电磁流量计由于适用范围广泛,测量介质比较多,而且结构简单,因此被应用于很多工业场合,特别是污水处理方
作者: 2021-02-24
  
  本期导语
  热电阻与热电偶都是常用的测温传感器,别看他们名字差不多,功能也很相近,但确实是差别很大的两种传感器呢。
  测温原理
  热电阻测温是基于金属导体
作者: 2021-02-24
  
  在目前而言,浙江的经济整体发展还是在全国领先阶段,无论说是工业还是商业,伴随着经济发展,人们的环保观念也在不断提升。许多工厂都在开设废气废水处理,如何确定预处理
页次:23/69 每页6 总数413    首页  上一页  下一页  尾页    转到:
杭州美控自动化技术有限公司 更多详情
杭州美控自动化技术有限公司 关注微信公众号
15064847631
公司总机:0532-83711631
QQ:745707276
电磁流量计代理商-青岛华鲁恒生自动化有限公司
公司地址:山东省青岛市市北区台柳路133号逸轩商务楼B座七层